محافظة الإسكندرية تعتمد التعريفة الجديدة لجميع وسائل النقل الداخلية والخارجية
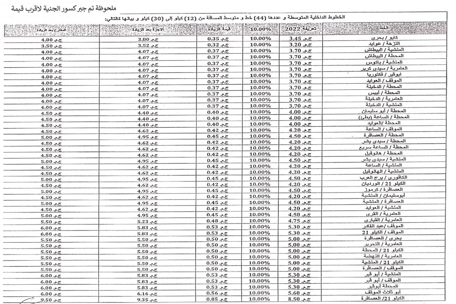
اعتمدت محافظة الإسكندرية، تعريفة الركوب الجديدة لسيارات الأجرة لوسائل النقل الداخلية والخارجية والنقل العام بالمحافظة والمقدمة من مشروع محطات الركاب والانتظار ويتم تطبيقها بدء من تاريخ الاعتماد طبقا للجداول المرفقة، وذلك تنفيذًا لتوجيهات اللواء هشام آمنة وزير التنمية المحلية، فى ضوء قرار لجنة التسعير التلقائى لأسعار المنتجات البترولية بوزارة البترول وتحريك الأسعار لبعض المنتجات اعتبارًا من مساء أمس الأربعاء.
وأوضح اللواء محمد الشريف محافظ الإسكندرية، أن اللجنة التى تم تشكيلها لتعديل التعريفات وضعت فى اعتبارها مسافة كل خط سير وعدد الرحلات تحقيقًا للعدالة، مشيرا إلى أن النسبة لأوتوبيسات وسيارات ووسائل النقل العام فإن الزيادة المقررة لا تتعدى نسبة 10%، على أن يتم إعلان التعريفات الجديدة وتعليقها بكافة المواقف وبصورة واضحة.
وأشار إلى أنه تم تنسيق تعريفات خطوط السير لسيارات السرفيس الخارجية ( الأقاليم ) مع المحافظات المجاورة وغيرها من المحافظات التى ترتبط مع محافظة الإسكندرية بخطوط سير لسيارات الأقاليم لضمان توحيد التعريفة.
ووجه محافظ الإسكندرية إدارة مشروع محطات الركاب والانتظار، بالإلتزام بنشر التعريفة الجديدة بالمواقف والمحطات المختلفة وتعليقها فى مكان ظاهر. وإلزام سائق النقل بعمل ملصقات بالتعريفة الجديدة لكل خط سير.
وأشار إلى أنه تم التنسيق بين المحافظات المختلفة والمجاورة لمحافظة الإسكندرية على توحيد السعر بينها.
وشدد على ضرورة التأكيد على وضع الملصق الخاص بسيارات السرفيس والنقل الجماعى والمتضمن خط السير والأجرة المقررة وفقًا للزيادات الجديدة لعدم قيام قائدو السيارات بزيادة تعريفة الركوب بصورة منفردة أو تقسيم خطوط السير.
وكلف محافظ الإسكندرية الأجهزة المعنية من مباحث المرور ورؤساء الأحياء وإدارة المواقف والهيئة العامة لنقل الركاب بالإسكندرية، ومسئولى التموين، بالرقابة على مدار الساعة للتأكد من التزام سائقى وسائل المواصلات المختلفة بالتعريفة الجديدة واتخاذ كافة الإجراءات القانونية ضد المخالفين، مشددًا على الحسم فى تطبيق التسعيرة الجديدة التى تم اعتمادها ومتابعة كافة مواقف المحافظة للتأكد من عدم استغلال المواطنين.
وأكد أن غرفة العمليات الرئيسة منعقدة على مدار الساعة بحضور جميع الجهات المعنية.















